Cristiane Ramos VIEIRA1*, Oscarlina Lúcia dos Santos WEBER2, José Fernando SCARAMUZZA2
1Faculdade de Agronomia, Universidade de Cuiabá, Cuiabá, MT, Brasil.
2Faculdade de Agronomia e Zootecnia, Universidade Federal de Mato Grosso, Cuiabá, MT, Brasil. (ORCID: 0000-0002-0625-4904; 0000-0003-3920-7802)
*E-mail: ramosvieira009@yahoo.com.br (ORCID: 0000-0003-1936-1343) Recebido em: 07/11/2018; Aceito em: 28/10/2019; Publicado em: 04/02/2020.
RESUMO: Schizolobium amazonicum (Huber ex Ducke) é uma espécie que possui rápido crescimento, excelente adaptabilidade e, madeira de qualidade. Porém, pouco se conhece a respeito da sua nutrição na fase de mudas. Diante disso, desenvolveu-se experimento em viveiro, com o objetivo de analisar o crescimento inicial do S. amazonicum após adubação com N, P e K. As mudas de S. amazonicum foram produzidas via semente, em canteiro com areia, e transplantadas para sacolas plásticas de 50x40 cm onde permaneceram durante a fase experimental. O delineamento utilizado foi o inteiramente casualizado com solo previamente calcareado e adubado: N = 0, 2,5, 5,0 e 7,5 kg m-3; P2O5 = 0, 3,0, 6,0 e 12,0 kg m-3 e; K2O = 0, 3,0, 6,0 e 12,0 kg m-3, com ureia, superfosfato simples e cloreto de potássio, respectivamente. Para a análise do crescimento foram determinadas as características morfológicas: altura, diâmetro, biomassa das folhas, biomassa do caule, biomassa da raiz e teores de macronutrientes. As doses que possibilitaram o maior crescimento e melhores condições de nutrição para o S. amazonicum foram 7,5 kg m-3 de N; 12,0 kg m-3 de P2O5 e 6,0 kg m-3 de K2O.
ABSTRACT: Schizolobium amazonicum (Huber ex Ducke) is a species with fast growth, excellent adaptability and quality wood. However, little is known about its nutrition in the seedling stage. For this, the experiment was carried out in a nursery with the objective of analyzing the initial growth of S. amazonicum seedlings submitted to N, P and K fertilization. The seedlings of S. amazonicum were produced by seed, in a bed with sand and transplanted to plastic bags of 50x40 cm where they remained during the experimental phase. The design was completely randomized with previously limed and fertilized soil with: N = 0, 2.5, 5.0 and 7.5 kg m-3; P2O5 = 0, 3.0, 6.0 and 12.0 kg m-3 and; K2O = 0, 3.0, 6.0
and 12.0 kg m-3, with urea, simple superphosphate and potassium chloride, respectively. For the analysis of growth, the following morphological characteristics were height, diameter, leaf biomass, stem biomass, root biomass and macronutrients were analyzed. The doses that allowed the greatest growth and better nutritional conditions for S. amazonicum were 7.5 kg m-3 of N, 12.0 kg m-3 of P2O5 and 6.0 kg m-3 of K2O.
Os solos sob Cerrado são, em geral, de elevada acidez, altos teores de Al trocável, baixa disponibilidade de cátions básicos e de P, características que comprometem o crescimento e a produtividade das culturas. Portanto, práticas como a calagem e a adubação são indispensáveis para a implantação de plantios nesses tipos de solos.
O uso de calcário e de adubo proporciona melhorias na produtividade, na qualidade e no estabelecimento dos plantios florestais (CARLOS et al., 2014). Porém, para isso, faz-se necessário conhecer as exigências nutricionais da espécie, para assim, estabelecer uma adubação que seja apropriada (FEITOSA et al., 2011). Mas que também garanta menores gastos com adubos, já que estes correspondem à parte substancial dos custos com a produção de mudas.
Segundo Cruz et al. (2012) a adubação inadequada facilita o ataque de pragas, promove o aparecimento de plantas com crescimento limitado, reduz o incremento médio anual, reduz a taxa de formação da madeira e, consequentemente, a sua qualidade, desvalorizando-a.
O Schizolobium amazonicum é uma espécie amazônica da família Caesalpiniaceae, conhecida como paricá. Caracteriza-se pelo rápido crescimento, boa adaptabilidade e potencial de produção (GAZEL FILHO et al., 2007). Pode ser utilizada em plantios homogêneos ou consorciados (IWAKIRI et al., 2010), recomposição de áreas degradadas e reflorestamento (GAZEL FILHO et al., 2007), na confecção de chapas aglomeradas (COLLI et al., 2010), na construção civil (ALMEIDA et al., 2013) e na produção de energia (VIDAURRE et al., 2012). Marques et al. (2004) observaram que N foi o macronutriente mais demandado pelo S. amazonicum e Fe o micronutriente mais requerido. No entanto, são raras as informações sobre a adubação no crescimento da espécie (CAIONE et al., 2012). Diante disso, há necessidade de desenvolver pesquisas que auxiliem na recomendação das doses de N, P e K para a mesma.
Estudando as exigências nutricionais de outras espécies, Silva et al. (2007) observaram que a falta de Cu limitou o crescimento de Swietenia macrophylla King.; e a falta de B, Mn e Zn reduziram o crescimento de Croton urucurana Baill. (SORREANO et al., 2011); enquanto que, Souza et al. (2012) observaram que, a máxima dose de P aumentou em 86% a absorção de Zn na parte aérea e em 71 % na raiz de Peltophorum dubium (Spreng.) Taub. Portanto, o experimento objetivou verificar o crescimento inicial e as exigências nutricionais de mudas de S. amazonicum submetidas às adubações com N, P e K.
O experimento foi instalado na casa de vegetação da Faculdade de Agronomia e Zootecnia, da Universidade Federal de Mato Grosso, construída de material telado com sombrite lateral branco e coberta com telha de amianto, sem controle de temperatura.
Para a produção das mudas de S. amazonicum, as sementes passaram por quebra de dormência utilizando o método de choque térmico, sementes imersas em água quente seguida da imersão em água fria. Logo após, foram dispostas em canteiro de 1,20 m x 3,00 m preenchido com areia, a uma profundidade de um centímetro, recomendada por Rosa et al. (2009). Permanecendo a pleno sol, com irrigação duas vezes ao dia (manhã e tarde). As primeiras germinações foram observadas cinco dias após a semeadura, ocorrendo uniformemente. Transcorridos 15 dias, as mudas atingiram comprimento de 15 cm, estando aptas ao transplante.
O solo utilizado foi o Latossolo Vermelho distrófico de textura franco arenosa, coletado em área de Cerrado nativo do Instituto Federal de Mato Grosso, campus de São Vicente da Serra. Uma amostra do solo foi seca ao ar, peneirada em malha de 2 mm e submetida à caracterização química seguindo métodos descritos pela Embrapa (1997) (Tabela 1).
Tabela 1. Análise química do solo Table 1. Chemical analysis of soil

O solo teve a saturação por bases elevada para 50%, com 1,53 t ha-1 de calcário, PRNT 100%, contendo 30% CaO e 21% MgO, tendo sido deixado em incubação por 15 dias.
Em seguida, foi adubado, com a aplicação única das dosagens de adubos que constituíram os quatro tratamentos para cada tipo de adubação que foi testada. Sendo: 0, 2,5, 5,0 e 7,5 kg m-3 de N, com ureia; para os tratamentos com adubação nitrogenada. As doses de: 0, 3,0, 6,0 e 12,0 kg m-3 de P2O5, com superfosfato simples; para os tratamentos com adubação fosfatada; e 0, 3,0, 6,0 e 12,0 kg m-3 de K2O, com cloreto de potássio; para os tratamentos com adubação potássica.
Todos foram dispostos em delineamento inteiramente casualizado, totalizando 4 tratamentos (doses) e 4 repetições para cada tipo de adubo. Esse solo foi utilizado para preencher as sacolas plásticas de 50x40 cm, para as quais foram transplantadas as mudas de S. amazonicum. Após 15 dias do transplante, iniciou-se a análise do crescimento das mudas.
As características morfológicas altura e diâmetro foram determinadas a cada 30 dias. A altura foi medida com régua graduada, desde a superfície do solo até a gema apical e; o diâmetro de colo foi medido com paquímetro digital. A obtenção da biomassa seca foi realizada a cada 60 dias, por se tratar de uma determinação destrutiva e cujos incrementos podem não variar no mesmo período que a altura e o diâmetro. Para isso, as mudas foram retiradas do substrato, seccionadas em folhas, caule e raiz. As raízes foram lavadas em água corrente e, em seguida, todo o material vegetal foi seco em estufa de circulação forçada de ar a 65ºC até peso constante e, pesado em balança semi-analítica com precisão de 0,05g. O material seco, proveniente das folhas, foi moído e, o resultante submetido às análises nutricionais utilizando as metodologias descritas em Malavolta et al. (1997).
Os dados foram submetidos à análise de regressão após a constatação da normalidade, utilizando o programa estatístico Assistat 7,7, da UFCG (Silva, 2012); para obtenção da equação, com posterior ajuste em planilha do Excel.
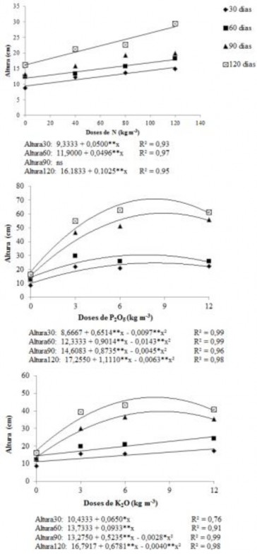
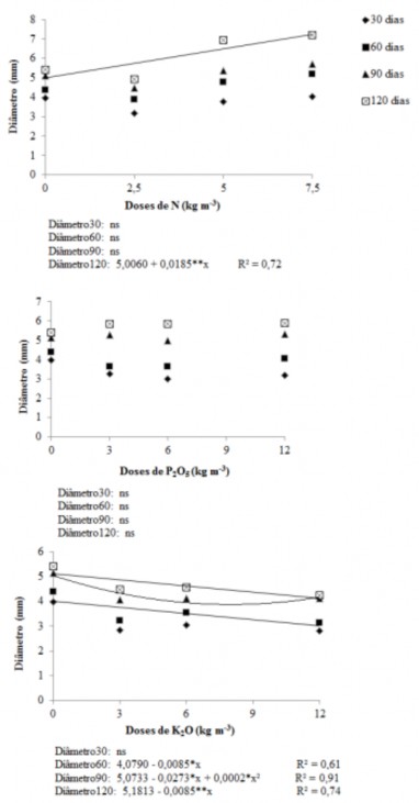
Os resultados obtidos para o crescimento em altura e em diâmetro, das mudas de S. amazonicum, submetidas às adubações com N, P e K estão apresentados nas Figuras 1 e 2, respectivamente.
Altura
O menor crescimento em altura (Figura 1) foi observado na dose de 0 kg m-3, para todas as adubações realizadas.
No entanto, a dose de 6,0 kg m-3 de P2O5 e de K2O foi a que proporcionou os maiores crescimentos em altura para essas adubações. Sendo, no caso das doses com P2O5, um crescimento de 42 cm em 120 dias, apesar de todas as doses terem favorecido para o crescimento acima de 50 cm durante esse período. E, no caso das doses de K2O, o aumento foi de 28 cm, em 120 dias.
Para as adubações com N, as médias se diferenciaram possibilitando ajuste de equação linear crescente nos períodos de 30, 60 e 120 dias; com o maior crescimento na dose de 7,5 kg m-3, um aumento de 14,5 cm. No entanto, nenhuma dose de N proporcionou altura de 30 cm em 120 dias.
Diâmetro
No caso das adubações nitrogenadas, o crescimento em diâmetro (Figura 2) foi de 3,17 mm, com aumento de 4,13 mm aos 30 dias para 7,2 mm aos 120 dias, semelhante ao da dose de 6,0 kg m-3. Contrariamente ao crescimento das plantas na dose de 0 kg m-3, que foi de apenas 1,44 mm em 120 dias, aumentando de 3,97 mm aos 30 dias para 5,41 mm aos 120 dias.
Nas adubações com P não se observou diferença entre as médias, porém, também se verificou os maiores aumentos na dose de 6,0 kg m-3, seguida da dose de 12,0 kg m-3, com aumento de 2,9 e 2,7 mm, respectivamente. Nas adubações com K se observou diferença entre as médias, com ajuste de equações lineares nos períodos de 60 e de 120 dias e, quadrática aos 90 dias. Nesse caso, o maior crescimento foi na dose de 3,0 kg m-3, de 2,8 mm para 4,5 mm, aumento de 1,7 mm.

Figura 1. Crescimento em altura das mudas de S. amazonicum até os 120 dias. Figure1. Growth in height of the seedlings of S. amazonicum up to 120 days.
Biomassa
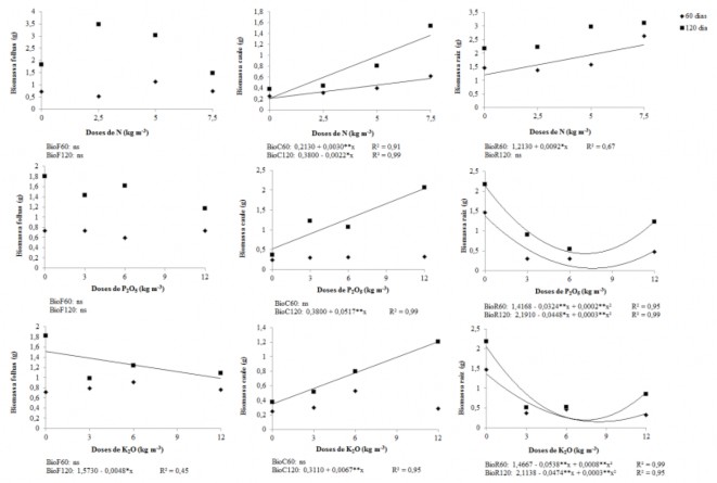
Os resultados obtidos para a biomassa das folhas, do caule e da raiz, das mudas de S. amazonicum, submetidas às adubações com N, P e K estão apresentados na Figura 3.
As maiores produções de biomassa das folhas (Figura 3) foram verificadas nas adubações com N, na dose de 2,5 kg m-3 entre 60 e 120 dias, sem diferenças entre as médias. Enquanto, a menor foi na dose de 12,0 kg m-3.
Nas adubações com P também não se observou diferença entre as médias, porém, as maiores produções foram nas doses de 0 kg m-3 e de 6,0 kg m-3.
Em relação à biomassa do caule (Figura 3), houve o ajuste de equação linear crescente das médias, nos períodos de 60 e de 120 dias, para as plantas submetidas às adubações com N. Nesse caso, as maiores médias foram verificadas na dose de 7,5 kg m-3, onde a produção foi de 0,92 g entre os períodos analisados; e, as menores na dose de 0 kg m-3.

Figura 2. Crescimento em diâmetro das mudas de S. amazonicum até os 120 dias. Figure 2. Growth in diameter of the seedlings of S. amazonicum up to 120 days.
Nas adubações com P houve ajuste linear crescente no período de 120 dias para a biomassa do caule. Com as maiores produções na dose de 12,0 kg m-3, aumentando 1,73 g do período de 60 dias a 120 dias. Resultados semelhantes foram observados no caso da adubação potássica, em que, o ajuste foi para equação linear crescente no período de 120 dias e, maiores produções na dose de 12,0 kg m-3, de 0,92 g entre os períodos de 60 e 120 dias.
Para a produção de biomassa da raiz (Figura 3), nas doses de N, ajustou-se equação linear para as médias aos 60 dias e, a maior na dose de 7,5 kg m-3. Porém, com a maior produção na dose de 5,0 kg m-3, que foi de 1,40 g do período de 60 dias a 120 dias. Nas adubações com P ajustou-se equação quadrática nos dois períodos de análise, com as maiores médias na dose de 0 kg m-3, que foi semelhante a da dose de 12,0 kg m-3, de 0,5 g para 1,2 g (aumento de 0,7 g). Nas adubações com K ajustaram-se equações quadráticas nos períodos de 60 e de 120 dias, para a biomassa da raiz. Sendo, as maiores médias observadas na dose de 0 kg m-3, com aumento de 0,7 g entre os períodos de 60 e 120 dias.

Figura 3. Biomassa das folhas, caule e raízes de mudas de S. amazonicum até os 120 dias. Figure 3. Biomass of leaves, stem and roots of seedlings of S. amazonicum up to 120 days.
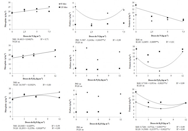
Nitrogênio
Para as doses de N (Figura 4), ajustou-se equação linear crescente, com os maiores teores na dose de 7,5 kg m-3 no período de 60 dias, o mesmo tipo de equação foi ajustado para as doses de P2O5 no período de 120 dias, tendo os maiores teores na dose de 12,0 kg m-3. Nas adubações com K a equação linear foi ajustada apenas no período de 60 dias, com os maiores teores de N também na dose de 12,0 kg m-3, porém, aos 120 dias, a equação ajustada foi quadrática e os maiores teores foram observados na dose de 3,0 kg m-3.
Fósforo
Para as plantas submetidas às adubações com N, ajustou-se equação quadrática de regressão com a maior média para os teores de P (Figura 4) na dose de 0 kg m-3 no período de 60 dias. Enquanto que, nas adubações com P não se observou diferença entre as médias. O mesmo ocorreu para as adubações com K, em que não se observou diferença entre as médias, porém, houve redução nos teores de P do período de 60 para 120 dias.
Potássio
Aos 60 dias ajustou-se equação quadrática, com a maior média para os teores de K (Figura 4) na dose de 12,0 kg m-3. A equação quadrática também foi ajustada para os teores de K do período de 60 para 120 dias. Enquanto que para as mudas submetidas às adubações com N, a equação ajustada foi a linear no período de 120 dias.
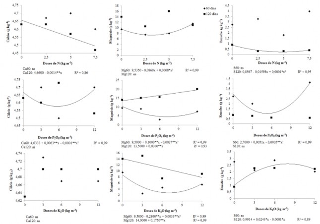
Cálcio
Nas adubações com N as diferenças entre as médias para os teores de Ca (Figura 5) ocorreram aos 120 dias, com ajuste de equação quadrática, sendo a maior na dose de 5,0 kg m-3 e a menor na dose de 2,5 kg m-3. Nas adubações com P e com K ajustaram-se equações quadráticas aos 60 dias, com a maior média em 0 kg m-3.
Magnésio
Nas adubações com N observou-se diferença entre as médias para os teores de Mg (Figura 5) apenas aos 120 dias com ajuste de equação linear decrescente.
Nas adubações com P houve ajuste de equação quadrática, aos 120 dias, com as maiores médias na dose de 6,0 kg m-3 e a menor na dose de 12,0 kg m-3. No entanto, para as adubações com K não se observou diferença.
Enxofre
Nas adubações com N e com K as diferenças ocorreram aos 120 dias com ajustes de equações quadráticas. Ao passo que, nas adubações com P os teores de S (Figura 5) possibilitaram ajuste de equação quadrática aos 60 dias.

Figura 4. Teores de N, P e K nas folhas das mudas de S. amazonicum aos 60 e 120 dias. Figure 4. N, P and K contents on the leaves of S. amazonicum seedlings at 60 and 120 days.

Figura 5. Teores de Ca, Mg e S nas folhas das mudas de S. amazonicum aos 60 e 120 dias. Figure 5. Ca, Mg e S contents on the leaves of S. amazonicum seedlings at 60 and 120 days.
Altura
O crescimento em altura (Figura 1) foi influenciado pelas adubações, com as maiores médias nas doses de P2O5. Nessas adubações houve diferença entre as médias nos períodos analisados, corroborando a importância da adubação fosfatada, provavelmente, por causa das funções do P como na fotossíntese, na respiração, na divisão e crescimento celular e, na transferência de energia.
As mudas submetidas às adubações com N apresentaram as menores médias em altura, dentre as adubações testadas, isso demonstrou haver necessidade de outros elementos para aumentar o crescimento das mudas de S. amazonicum.
As adubações com K também se mostraram importantes para o crescimento em altura das mudas de S. amazonicum nos primeiros meses de estabelecimento no viveiro. Nesse caso, somente as doses de 6,0 e de 12,0 kg m-3 proporcionaram crescimento acima de 40 cm. Portanto, a espécie se mostrou responsiva as adubações com K, sendo fundamental o aumento dos seus níveis no solo.
Em geral, os dados obtidos para as mudas nas doses de K2O foram semelhantes às observadas por Caione et al. (2012), de 36,08 a 43,12 cm em mudas de S. amazonicum com 90 dias. Porém, inferiores as obtidas nas doses de P, indicando doses mais favoráveis à espécie no presente estudo.
Considerando que, a altura das plantas é uma das características mais utilizadas no viveiro para qualificá-las, em todos os tratamentos em que não se realizou a adubação, não se observaram mudas aptas ao transplante até os 120 dias, pois, de acordo com recomendações de Xavier et al. (2009), deve estar entre 20 e 40 cm. Nas adubações com N a altura adequada foi atingida com 90 dias na dose de 7,5 kg m-3; nas doses de P2O5 com
30 dias e; nas doses de K2O com 60 dias. Resultado importante porque comprova a necessidade de adubação para proporcionar o crescimento das mudas dessa espécie, já que, no viveiro, buscam-se plantas aptas ao crescimento em menor tempo.
Diâmetro
Diferentemente dos dados obtidos para o crescimento em altura, a adubação com N proporcionou os maiores crescimentos em diâmetro (Figura 2), comprovando o maior crescimento na dose de 7,5 kg m-3. No caso das doses de P2O5, não se observou diferenças entre as médias, verificou-se que os maiores incrementos se deram na dose de 6,0 kg m-3, seguida da dose de 12,0 kg m-3. Isso é importante porque demonstra um crescimento adequado, principalmente quando o objetivo é produzir em larga escala com a finalidade de obter plantios uniformes no campo.
Os dados obtidos após a adubação com K também comprovaram a necessidade da adubação para o crescimento das mudas de S. amazonicum, já que uma das funções do K nas plantas é o engrossamento do caule (TRAZZI et al., 2014).
Em geral, as médias obtidas para o crescimento em diâmetro foram semelhantes às obtidas por Caione et al. (2012), entre 3,96 e 4,84 mm para mudas de S. amazonicum. No entanto, as obtidas nas adubações com N e com P do presente estudo foram superiores. Esses dados podem ser utilizados para auxiliar na definição das doses de fertilizantes a serem aplicados na produção de mudas, porque mudas com maior incremento em diâmetro possuem maior capacidade de formação e de crescimento de novas raízes (SOUZA et al., 2006).
Biomassa
As adubações também influenciaram na produção de biomassa das folhas (Figura 3). Sendo que, as maiores produções foram verificadas nas adubações com N, na dose de 2,5 kg m-3, não condizente com o crescimento em altura.
Nas adubações com P também não se observou diferença entre as médias, resultados que foram semelhantes aos observados para as doses de K2O, com as maiores produções de biomassa de folhas na dose de 0 kg m-3. Porém, isso não parece ter sido um problema porque não se observou limitação no crescimento das plantas.
Esses dados indicam uma “compensação” da planta pelo baixo crescimento em altura e em diâmetro na dose de 0 kg m-3, com a produção de biomassa foliar, para manter-se nutrida, ao menos, até o final do período de análise do estudo. Nesse caso, o K pode ter auxiliado na melhora da fertilidade do substrato para manter o desenvolvimento foliar das mudas de S. amazonicum. Isso ocorre porque, conforme descrito por Malavolta et al. (1997), K está ligado à ativação de enzimas, à manutenção do turgor das células e à resistência da planta, influenciando, dessa forma, no seu crescimento.
A biomassa do caule foi maior após as adubações, com N, com P ou com K (Figura 3). Nas adubações com N, as maiores médias foram verificadas na dose de 7,5 kg m-3, condizente com o crescimento em altura e em diâmetro das mudas de S. amazonicum.
Nas adubações com P houve ajuste linear crescente, com as maiores produções de biomassa do caule na dose de 12,0 kg m-3 também condizente com o que ocorreu com o crescimento em altura e em diâmetro. As adubações também influenciaram na produção de biomassa da raiz (Figura 3), principalmente, na adubação nitrogenada. Nas adubações com P a produção de biomassa nas doses de 0 kg m-3 e de 12,0 kg m-3 foi considerada semelhante. Isso é importante devido às funções do P no sistema radicular e que pode ter contribuído para o crescimento da parte aérea, porque a produção de biomassa radicular atingida para as plantas deixou-as eficientes na absorção de nutrientes.
Ressalta-se que a biomassa radicular está relacionada às funções do P. De acordo com Stahl et al. (2013), a geometria das raízes influencia o crescimento da planta e a aquisição de nutrientes, especialmente os com baixa mobilidade no solo, a exemplo do P. O que pode ter contribuído para as médias de crescimento em altura e em diâmetro nas plantas submetidas às doses de P2O5.
Em relação às doses de K2O, também se observou mudas com maior produção de biomassa da raiz na dose de 0 kg m-3, que foi atingida devido à capacidade das plantas, nesse tratamento, em absorver o K disponível no solo.
Portanto, as adubações com N influenciaram, principalmente no crescimento em diâmetro e na biomassa seca das folhas e da raiz; as adubações com P no crescimento em altura e na biomassa do caule e da raiz e; as adubações com K, na altura. Evidenciando a necessidade dessas adubações para que aconteça um crescimento adequado, bem como a produção de biomassa.
Não se encontra, em literatura, os teores de nutrientes considerados adequados para o S. amazonicum na fase de mudas, por isso, utilizou-se as faixas de recomendações de Malavolta et al. (1997) para espécies florestais e, as informações de estudos com a espécie para a comparação entre os teores de nutrientes obtidos.
Nitrogênio
Nas adubações com N observou-se teores de N (Figura 4) adequados segundo recomendação de Malavolta et al. (1997), que seria entre 12 e 35 g kg-1. Porém, inferiores aos obtidos por Marques et al. (2004) em mudas de S. amazonicum submetidas à solução completa em nutrientes.
Os teores adequados de N na dose de 0 kg m-3 indicam teores disponíveis no solo que foram capazes de produzir biomassa foliar, porém, sem garantir o maior crescimento das mudas de S. amazonicum. O que demonstra que deve haver interação com outros elementos para que o crescimento ideal seja atingido, não sendo suficientes os teores adequados de N. Os teores observados podem estar relacionados com o efeito de concentração, já que o crescimento foi menor na dose de 0 kg m-3.
Nas adubações com P houve diferença entre as médias apenas no período de 120 dias, todas dentro da faixa adequada. Indicando interação positiva entre N e P, o que contribuiu para o crescimento das mudas de S. amazonicum. Porque N está relacionado com funções vitais nas plantas como divisão celular, produção de aminoácidos e proteínas, fotossíntese e respiração (MALAVOLTA et al., 1997). Nas adubações com K ajustou-se equação linear no período de 60 dias e quadrática no período de 120 dias. Com teores adequados de N em todas as doses e períodos de análise. Corroborando a interação positiva entre os elementos, o que acarretou no maior crescimento total das mudas.
Fósforo
Os maiores teores de P (Figura 4) foram verificados aos 60 dias constatando maior demanda de P nos primeiros meses de crescimento do S. amazonicum, isso porque P é importante na fase inicial de desenvolvimento e, como se trata de uma espécie de rápido crescimento, suas exigências pelo elemento se tornam maiores. Além de que, o elemento desempenha papel energético para as células das plantas e está diretamente relacionado com o processo fotossintético (MALAVOLTA et al., 1997).
Para as plantas submetidas às adubações com N, os teores de P, aos 60 dias, foram considerados superiores ao adequado segundo recomendação de Malavolta et al. (1997), que é de 1,0 a 2,3 g kg-1. Portanto, os altos teores de P não foram suficientes, sendo necessário analisar os demais nutrientes, seus níveis e interações. No período de 120 dias se observou teores menores que o adequado apenas na dose de 2,5 kg m-3, comprometendo o crescimento e a produção de biomassa das mudas de S. amazonicum nessa dose.
Nas adubações com P, os teores de P, aos 60 dias, permaneceram acima do adequado e das obtidas por Marques et al. (2004), que foi de 4,37 g kg-1, porém, sem comprometimento do crescimento das mudas. Enquanto houve redução dos teores de P do período de 60 dias para 120 dias, com médias adequadas apenas nas doses de 0 kg m-3 e de 12,0 kg m-3. O que não limitou o crescimento na dose de 6,0 kg m-3.
Nas adubações com K também não se observou diferença entre as médias, porém, houve redução nos teores de P do período de 60 para 120 dias. Aos 60 dias, os teores de P foram superiores aos adequados em todas as doses e das obtidas por Marques et al. (2004) em mudas de S. amazonicum; aos 120 dias, apenas na dose de 12,0 kg m-3 o teor foi menor que o adequado. Demonstrando as altas demandas por P nos primeiros 60 dias de estabelecimento.
Potássio
Os maiores teores de K foram verificados nas adubações com P no período de 120 dias (Figura 4), porém, inferiores às obtidas por Marques et al. (2004) para mudas de S. amazonicum. Nas adubações com P houve aumento dos teores de K do período de 60 dias para 120 dias, com teores considerados adequados apenas na dose de 12,0 kg m-3, aos 60 dias; e adequados em todas as doses aos 120 dias, melhorando as condições de fertilidade do solo para o crescimento das mudas.
Nas adubações com K houve aumento dos teores de K do período de 60 para 120 dias, assim como nas adubações com N e com P. Em ambos os períodos, os maiores teores foram verificados na dose de 0 kg m-3. Porém, os teores de 5 g kg-1 aos 60 dias e de 8,6 g kg-1 aos 120 dias foram suficientes para manter o crescimento das mudas, diferentemente do que foi observado por Marques et al. (2004) que constataram altas exigências em K pela espécie. Sendo assim, os resultados obtidos no presente estudo podem estar relacionados com a necessidade das plantas e dos demais nutrientes para as interações ideias, que possibilitaram o crescimento das mudas.
Cálcio
Nas adubações com N as diferenças entre as médias ocorreram aos 120 dias, com teores de Ca (Figura 5) dentro da faixa adequada considerada por Malavolta et al. (1997).
Nas adubações com P os teores permaneceram dentro da recomendação, facilitando o crescimento das mudas, aos 60 dias. Porém, os resultados indicam maior demanda de Ca após 60 dias. De acordo com Silva et al. (2013) o efeito do Ca se dá nos pontos de crescimento das plantas, assim, o sistema radicular se desenvolve mais. Além disso, de acordo com Malavolta et al. (1997), N e P favorecem o acúmulo de Ca nas folhas, que está envolvido em processos como fotossíntese, divisão celular e aumento do volume celular. Isso auxilia a explicar como os teores adequados de Ca contribuíram para o crescimento do S. amazonicum.
Nas adubações com K, os teores de Ca estiveram abaixo da faixa adequada, aos 60 dias, apenas na dose de 3,0 kg m-3. Enquanto que no período de 120 dias, estiveram acima do recomendado, nas doses de 0 e de 3,0 kg m-3. Os teores na dose de 0 kg m-3 podem estar relacionados com o efeito de concentração, já que as plantas nessa dose foram as que menos cresceram.
Magnésio
Os teores de Mg (Figura 5) foram semelhantes entre as adubações com N, com P e com K, e considerados adequados segundo recomendação de Malavolta et al. (1997), de 1,5 a 5,0 g kg-1; porém, superiores aos obtidos por Marques et al. (2004) nos dois períodos de análises. Os teores adequados de Mg são importantes para as plantas porque esse elemento participa da clorofila e, é ativador de enzimas (GONÇALVES et al., 2012).
Nas adubações com N observou-se redução dos teores de Mg de um período para o outro, no entanto, todos esses teores estiveram dentro da faixa adequada, não limitando, portanto, o crescimento das plantas.
Para as adubações com P, os menores teores de Mg na dose de 12,0 kg m-3 não comprometeu o crescimento das mudas de S. amazonicum porque todos os teores foram considerados adequados. De acordo com Marques et al. (2004), isso ocorre, porque existe interação entre P e Mg, na ausência de Mg ocorre pouca translocação do P para as folhas, acumulando mais P no caule e nas raízes.
Nas adubações com K não se observou diferença para os teores de Mg, que permaneceram dentro da faixa adequada. Esses dados são importantes porque demonstram ques as doses de K2O estudadas não acarretaram em antagonismo entre os elementos, o
que poderia comprometer o crescimento e a produção de biomassa com a adubação potássica.
Enxofre
Nas adubações com N, todas as médias para os teores de S (Figura 5) estiveram abaixo do teor considerado ideal (de 1,4 a 2,0 g kg-1, segundo Malavolta et al. (1997) aos 120 dias, que pode estar relacionado com a maior demanda da espécie até os 60 dias e com os menores crescimentos em altura nas doses de N. No período de 60 dias, a única dose em que se observaram teores adequados de S foi em 5,0 kg m-3.
Nas adubações com P, os teores de S ficaram abaixo do adequado apenas na dose de 6,0 kg m-3. Esses teores adequados entre os tratamentos auxiliam a entender como que o S contribuiu para o crescimento e produção de biomassa das mudas de S. amazonicum, já que, de acordo com Malavolta et al. (1997), esse elemento está relacionado com a produção de aminoácidos e de proteínas nas plantas. No entanto, no período de 120 dias, todas as médias para os teores de S, ficaram abaixo da adequada.
Nas adubações com K apenas na dose de 0 kg m-3 se observou média abaixo da faixa recomendada, aos 120 dias. No período de 60 dias todos os teores permaneceram acima do ideal, porém, semelhante ao observado por Marques et al. (2004) em mudas de S. amazonicum, indicando interação positiva entre K e S.
As adubações com N, com P e com K influenciaram no crescimento e na nutrição das mudas de S. amazonicum.
Em geral, as doses que proporcionaram os maiores aumentos no crescimento das mudas de S. amazonicum foram 7,5 kg m-3 de N, 12,0 kg m-3 de P2O5 e 6,0 kg m-3 de K2O.
Resultados que estão relacionados aos teores de nutrientes e sua adequação em função do crescimento da espécie.
À Fundação de Amparo à Pesquisa do Estado de Mato Grosso – FAPEMAT.
ALMEIDA, D. H.; SCALIANTE, R. M.; MACEDO, L. B.; MACÊDO, A. N.; DIAS, A. A.; CRISTOFORO, A. L.; CALIL JUNIOR, C. Caracterização completa da madeira da espécie amazônica paricá (Schizolobium amazonicum Herb.) em peças de dimensões estruturais. Revista Árvore, Viçosa; v. 37, n. 6, p. 1175–1181, 2013. DOI: http://dx.doi.org/10.1590/S0100-67622013000600019
CAIONE, G.; LANGE, A.; SCHONINGER, E. L. Crescimento de mudas de Schizolobium amazonicum (Huber ex Ducke) em substrato fertilizado com nitrogênio, fósforo e potássio. Scientia Forestalis, Piracicaba, v. 40, n. 94, p. 213-221, 2012.
CARLOS, L.; VENTURIN, N.; MACEDO, R. L. G.; HIGASHIKAWA, E. M.; GARCIA, M. B.; FARIAS, E. S. Crescimento e nutrição mineral de mudas de pequi sob efeito da omissão de nutrientes. Ciência Florestal, Santa Maria, v. 24, n. 1, p.13-21, 2014. DOI: http://dx.doi.org/10.5902/1980509813318
COLLI, A.; VITAL, B. R.; CARNEIRO, A. C. O.; SILVA, J. C.; CARVALHO, A. M. M. L.; DELLA LUCIA, R. M. Propriedades de chapas fabricadas com partículas de madeira de paricá (Schizolobium amazonicum Huber ex. Ducke) e fibras de coco (Cocos nucifera L.). Revista Árvore, Viçosa, v. 34, n. 2, p.333-338, 2010. DOI: http://dx.doi.org/10.1590/S0100- 67622010000200016
CRUZ, C. A. F.; PAIVA, H. N.; CUNHA, A. C. M. C. M.; NEVES, J. C. L. Produção de mudas de canafístula cultivadas em Latossolo vermelho amarelo álico em resposta a macronutrientes. Cerne, Lavras, v. 18, n. 1, p. 87-98, 2012. DOI: http://dx.doi.org/10.1590/S0104-77602012000100011
EMBRAPA_EMPRESA BRASILEIRA DE PESQUISA AGROPECUÁRIA. Centro Nacional de Pesquisa de Solos. Manual de métodos de análise de solos. 2. ed. rev. aum. Rio de Janeiro: EMBRAPA, 1997, 212 p.
FEITOSA, D. G.; MALTONNI, K. L.; CASSIOLATO, A. M. R.; PAIANO, M. O. Crescimento de mudas de gonçalo-alves (Astronium fraxinifolium) sob diferentes fontes e doses de nitrogênio. Revista Árvore, Viçosa, v. 35, n. 3, p. 401-411, 2011. DOI: http://dx.doi.org/10.1590/S0100-67622011000300004
GAZEL FILHO, A. B.; CORDEIRO, I. M. C. C.; ALVARADO, J. R.; SANTOS FILHO, B. G. Produção de biomassa em quatro procedências de paricá (Schizolobium parahyba var. amazonicum (Huber ex Ducke)) Barneby no estádio de muda. Revista Brasileira de Biociências, Porto Alegre, v. 5, n. 2, p. 1047-1049, 2007.
GONÇALVES, E. O.; PAIVA, H. N.; NEVES, J. C. L.; GOMES, J. M. Nutrição de mudas de angico-vermelho (Anadenanthera macrocarpa (Benth.) Brenan) submetidas a doses de N, P, K, Ca e Mg. Revista Árvore, Viçosa, v.36, n.2, p.219-228, 2012. DOI: http://dx.doi.org/10.1590/S0100-67622012000200003
IWAKIRI, S.; ZELLER, F.; PINTO, J. A.; RAMIREZ, M. G. L.; SOUZA, M. M.; SEIXAS, R. Avaliação do potencial de utilização da madeira de Schizolobium amazonicum “paricá” e Cecropia hololeuca “embaúba” para produção de painéis aglomerados. Acta Amazônica, Manaus, v. 40, n. 2, p. 303-308, 2010. DOI: http://dx.doi.org/10.1590/S0044-
59672010000200008
MALAVOLTA, E.; VITTI, G. C.; OLIVEIRA, S. A. Avaliação do estado nutricional das plantas: princípios e aplicações. Piracicaba: POTAFOS, 2. ed., 1997, 319 p.
MARQUES, T. C. L. L. S. M.; CARVALHO, J. G.; LACERDA, M. P. C.; MOTA, P. E. F. Exigências nutricionais do paricá (Schizolobium amazonicum Herb.) na fase de muda. Cerne, Lavras, v. 10, n. 2, p. 167-183, 2004.
ROSA, L. S.; VIEIRA, T. A.; SANTOS, D. S.; SILVA, L. C. B. Emergência, crescimento e padrão de qualidade de mudas de Schizolobium amazonicum Huber ex Ducke sob diferentes níveis de sombreamento e profundidades de semeadura. Revista de Ciências Agrárias, Belém, v. 52, n. 1, p. 87-98, 2009.
SILVA, W. G.; TUCCI, C. A. F.; HARA, F. A. S.; SANTOS, R. A. C. Efeito de micronutrientes sobre o crescimento de mudas de mogno (Swietenia macrophylla King) em Latossolo amarelo. Acta Amazônica, Manaus, v.37, n.3, p.371-376, 2007. DOI: http://dx.doi.org/10.1590/S0044-59672007000300008
SILVA, F. A. S. Assistat: programa de análises estatísticas: versão 7.7 beta. Campina Grande: UAEG-CTRN-UFCG, 2012.
SILVA, P. M. C.; UCHÔA, S. C. P.; BARBOSA, J. B. F.; BASTOS, V. J.; ALVES, J. M. A.; FARIAS, L. C. Efeito do potássio e do calcário na qualidade de mudas de cedro doce (Bombacopsis quinata). Revista Agroambiente, Boa Vista, v. 7, n. 1, p.63-69, 2013. DOI: http://dx.doi.org/10.18227/1982-8470ragro.v7i1.842
SORREANO, M. C. M.; MALAVOLTA, E.; SILVA, D. H.; CABRAL, C. P.; RODRIGUES, R. R. Deficiência de micronutrientes em mudas de sangra d’água (Croton urucurana Baill.).
77602011000300008
SOUZA, C. A. M.; OLIVEIRA, R. B.; LIMA, J. S. S. Crescimento em campo de espécies florestais em diferentes condições de adubação. Ciência Florestal, Santa Maria, v. 16, n. 3, p. 243-249, 2006.
SOUZA, N. H.; MARCHETTI, M. E.; CARNEVALLI, T. O.; RAMOS, D. D.; SCALON, S. P. Q.; SILVA, E. F. Estudo nutricional da canafístula (II): eficiência nutricional em função da adubação com nitrogênio e fósforo. Revista Árvore, Viçosa, v. 36, n. 5, p. 803-812, 2012. DOI: http://dx.doi.org/10.1590/S0100-67622012000500002
STAHL, J.; ERNANI, P. R.; GATIBONI, L. C.; CHAVES, D. M.; NEVES, C. U. Produção de massa seca e eficiência nutricional de clones de Eucalyptus dunnii e Eucalyptus benthamii em função da adição de doses de fósforo ao solo. Ciência Florestal, Santa Maria, v. 23, n. 2, p. 287-295, 2013. DOI: http://dx.doi.org/10.5902/198050989275
TRAZZI, P. A.; CALDEIRA, M. V. W.; CUSATIS, A. C.; HIGA, A. R. Crescimento e nutrição de mudas de Tectona grandis produzidas em substratos orgânicos. Scientia Forestalis, Piracicaba, v. 42, n. 101, p. 49-56, 2014.
VIDAURRE, G. B.; CARNEIRO, A. C. O.; VITAL, B. R.; SANTOS, R. C.; VALLE, M. L. A. Propriedades energéticas da madeira e do carvão de paricá (Schizolobium amazonicum). Revista Árvore, Viçosa, v. 36, n. 2, p.365-371, 2012. DOI: http://dx.doi.org/10.1590/S0100-67622012000200018
XAVIER, A.; WENDLING, I.; SILVA, R. L. Silvicultura clonal: princípios e técnicas. Viçosa: UFV, 2009, 272 p.